贛州市中達成品油有限公司贛州市贛縣區中達加油站二級加油站新建項目
發布時間:2020-04-22
|
安全評價單位名稱 |
贛州市中達成品油有限公司贛州市贛縣區中達加油站 |
||
|
項目名稱: |
二級加油站新建項目安全預評價報告 |
||
|
簡 介: |
|||
|
安全評價項目組長: |
李永輝 |
||
|
技術負責人: |
夏長喜 |
||
|
過程控制負責人: |
檀廷斌 |
||
|
評價報告編制人: |
李永輝 |
||
|
報告審核人: |
林大建 |
||
|
參與評價工作的安全評價師: |
李永輝、陳 浩 |
||
|
注冊安全工程師: |
劉志強、李永輝 |
||
|
技術專家: |
劉志強,化工工藝工程師 |
||
|
到現場開展安全評價工作的人員名單: |
劉志強 |
||
|
時間和主要任務: |
完成時間:2020年4月22日;
主要任務:安全預評價報告; |
||
|
評價報告: |
|||
|
一、評價對象及范圍:
贛州市中達成品油有限公司贛州市贛縣區中達加油站二級加油站新建工程項目的主體裝置和輔助設施,包括經營過程中的危險和危害因素控制措施和工藝、設備設施的安全可靠性以及安全管理方面的組織、機構、人員、防護設施、作業環境及管理制度等安全經營條件的符合性評價。具體范圍如下:
1.2層站房1棟及加油罩棚
二、項目基本情況:
⑴周邊環境
該新建站位于贛州市贛縣區吉埠鎮枧田村企業組,加油站朝向南面興贛公路(圖紙中為江興公路)。目前,該項目四周環境情況如下:
東北面:為空地,有一口水塘,水塘再外就是小山坡,擬設圍墻。小山坡有一路架空電力線,該電力線桿高8m,油罐距離電力線22m以上,距離油罐超過桿高。
東南面:興贛公路,斜對面為贛興高速公路贛縣江口吉埠出入口引道,加油機距離興贛公路為21.2m。
西南面:空地,雜樹林,加油站的站房、輔助用房距離鄉間小路7m(至退讓用地4m),加油站擬設圍墻
西北面:空地,有一條小路,該小路原為江口通往興國的公路,現已廢止,現為鄉間小路,再往外是空地,雜樹林,小山坡,該小山坡為緩坡,坡角小于30°山坡底距離最近的埋地油罐超過25m。
該新建站,總規劃用地面積為4106m2,用地略呈三角形,其中東北面長64.27m,靠公路的東南面長150.99m,西北面長為159.88m。加油站的工藝設施及建筑物應布置用地面積范圍內。
根據規劃設計,該新建站位于興贛公路西北側,車輛從興贛兩端出入,進出口相距35m,西北、西南、北東面擬建高2.2m的實體圍墻,有利于安全管理。站區內除加油作業區和必要的硬化面積外,其它地面擬種植非油性草坪綠化。(具體參見附件——總平面布置圖)。
贛州市中達成品油有限公司贛州市贛縣區中達加油站新建二級加油站工程項目,站區內總平面布置加油區、油罐區、經營辦公區、輔助區、卸油作業區布置。加油站在油罐區與站房、加油區之間擬設洗車機,在加油站東北角靠公路一側設室內清潔區(洗車棚)。
【加油作業區】擬設6臺4槍多油品加油機和單油品加油機,分二列布置,每列三臺加油機開布置在獨立加油島,加油島長4m寬1.2m,高度為0.15~0.20m。加油機上方設鋼網架結構的罩棚,罩棚一端由二個立柱支撐,分別位于加油島上,另一端固定在站房頂上,罩棚面積分別為22.8×33=785.4m2,靠公路一側加油機距興贛公路路肩16m。罩棚擬設高度為6.0~6.7m。
【加油機和工藝管道】擬選用潛油泵自封式加油機及加油槍,汽油加油槍的流量不大于50L/min,加油軟管上擬設安全拉斷閥。
卸油工藝:油罐車行駛至加油站內密封卸油口停車處,利用油罐車與地下儲油罐的高位差,采用密閉式卸油。采用油氣回收系統,在油罐車卸油過程中,將原來儲油罐內散溢的油氣,通過油氣回收地下工藝管線及卸車軟管重新收集至油罐車內,實現卸油與油氣等體積置換。其工藝流程如下圖:
卸油油氣
卸油工藝流程圖
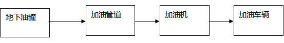
加油工藝:加油作業時,采用潛油泵提供的動力,油品通過加油管道至加油機,進入受油容器。同時,加汽油作業時,有油氣回收回收系統,汽油蒸汽通過油氣回收管道回至汽油罐。具體流程見下圖:
柴油加油工藝流程圖
汽油加油工藝流程圖
三、評價結論
⑴贛州市中達成品油有限公司贛州市贛縣區中達加油站新建工程項目屬于二級加油站,站區儲存、經營過程中涉及汽油、柴油屬于危險化學品。其中:汽油為易燃液體,類別2;柴油為易燃液體,類別3。汽油屬于首批國家重點監管的危險化學品。
該站在經營過程中不涉及劇毒化學品、不屬于監控化學品、易制毒化學品及易制爆化學品。
⑵該加油站危險化學品儲存量沒有超過GB18218-2018標準規定的臨界量,因而不構成危險化學品的重大危險源。
該加油站在儲存、經營過程中存在的主要危害因素有:火災爆炸、觸電、車輛傷害、高處墜落、物體打擊、坍塌、中毒與窒息、噪聲危害、高溫熱輻射,同時存在人為失誤和管理缺陷。其中火災爆炸是本加油站最主要的危險因素,也是防范重點。
⑶安全檢查表評價中,該加油站的選址、自然條件、總體布局通過采取補償措施,能滿足安全條件。項目配套的供水、供電設施能滿足建設要求。
⑷危險度評價埋地汽油罐屬于中度危險,是火災爆炸區域,是本建設項目重點監控目標。密閉卸油、加油作業單元的作業條件危險性評價,為可能危險,需要注意。采用預先危險性分析法進行評價,工程危險源危險等級為Ⅳ級有:火災爆炸,為Ⅲ的有觸電,為Ⅱ級有:機械傷害、車輛傷害。機械傷害、觸電發生事故的可能性為D級,火災、車輛傷害發生事故的可能性為 E級。這是從汽油柴油、密閉卸油、加油機及油管、環境條件、管理等方面綜合的結果。埋地油罐火災爆炸模擬結果人身免受傷害的安全距離為6.83m;建筑物才可能免于遭受破壞的安全距離為10.84m。需要在設備設施質量,包括安裝質量,嚴格執行安全操作規程,設置安全防護裝置、加強安全管理、安全技術應用、自動控制應經常監督檢查。加油站將經營區域分為加油作業區、卸油作業區、辦公營業區以及其他附屬設施區,功能明確、合理,符合《汽車加油加氣站設計與施工規范(2014局部修訂版)》的要求。
⑸本項目選擇成熟的生產工藝,工藝過程易于控制,通過選擇合理的工藝參數,選用合適的安全裝置、連鎖保護設施,采用符合國家標準規范的工藝裝置設備,采取相應的防火防爆措施、電氣安全措施,配備規范的常規防護及個體防護設施,其經營過程中的危險有害因素是可以預防和控制的,危險危害能達到可以接受的程度。
⑹項目的有毒作業、噪聲危害作業、高溫危害作業通過治理,亦可達到可以接受的程度。
⑺該新建加油站應重點防范的是火災爆炸。在下一步設計、施工及項目建后的經營管理中,預防、控制和消除發生火災爆炸危險因素是重點。
⑻建議加油站重點關注站區外以后新建的建構筑物與加油站內的工藝設施安全間距的變化,應保證防火間距符合GB50156-2012(2014版)標準要求,同時應盡量滿足工藝裝置的外部安全防護距離;應關注暴雨給站區可能造成事故及儲罐漂浮的可能。
|
|||
|
提交時間: |
2020年4月22日 |
||
|
現場影像資料 |
|||

上一篇:
贛州貢源加油站改建二級加油站建設項目



